Ответы к Варианту 1  по Алгебре 7 класс Дидактические материалы Мерзляк УМК   Вентана-граф
        
    
        
            
            
                                                                
            
                                                                
                                                
                        Решебник №1
                    
                                            
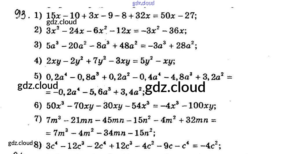
                            вариант 1 / 93
                        
                                                                                                                            
                                                                                                                                        
                        Решебник №2
                    
                                            
                            вариант 1 / 93
                        
                                                                                                                            
                                                                                                                                        
                        Решебник №3
                    
                                            
                            вариант 1 / 93
                        
                                                                                                                            
                                                                                                                                            
         
     
    
            
            Ответ на задание 93 Дидактические материалы Алгебра  за 7 (седьмой) класс Мерзляк, Полонский, Рабинович, Якир УМК  2017 
ФГОС онлайн и без номера телефона.