Ответы к Варианту 1 по Алгебре 7 класс Дидактические материалы Мерзляк УМК Вентана-граф

Решебник №1

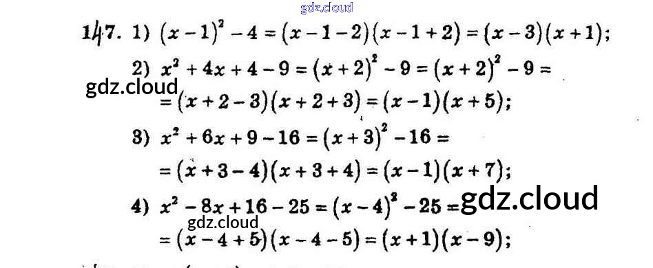
вариант 1 / 147

Решебник №2

вариант 1 / 147

Решебник №3

вариант 1 / 147

Ответ на задание 147 Дидактические материалы Алгебра за 7 (седьмой) класс Мерзляк, Полонский, Рабинович, Якир УМК 2017 ФГОС онлайн и без номера телефона.