Ответы к упражнениям  по Алгебре 7 класс Учебник Дорофеев Академический школьный учебник   Просвещение
        
    
        
            
            
                                                                
            
                                                                
                                                
                        Решебник 1
                    
                                            
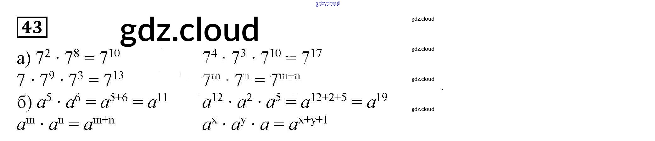
                            упражнение / 43
                        
                                                                                                                            
                                                                                                                                                                    
                        Решебник 3
                    
                                            
                            упражнение / 43
                        
                                                                                                                            
                                                                                                                                        
                        Решебник 4
                    
                                            
                            упражнение / 43
                        
                                                                                                                            
                                                                                                                                        
                        Решебник 5
                    
                                            
                            упражнение / 43
                        
                                                                                                                            
                                                                                                                
         
     
    
            
            Ответ на задание 43 Учебник Алгебра  за 7 (седьмой) класс Дорофеев, Суворова, Бунимович Академический школьный учебник  2020 
ФГОС онлайн и без номера телефона.