Ответы к упражнениям по Алгебре 7 класс Учебник Дорофеев Академический школьный учебник Просвещение

Решебник 1

упражнение / 149

Решебник 2

упражнение / 149

Решебник 3

упражнение / 149

Решебник 4

упражнение / 149

Решебник 5

упражнение / 149

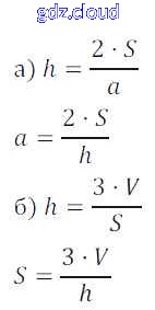
Ответ на задание 149 Учебник Алгебра за 7 (седьмой) класс Дорофеев, Суворова, Бунимович Академический школьный учебник 2020 ФГОС онлайн и без номера телефона.