Ответы к §3 по Алгебре 11 класс Учебник Мерзляк Алгоритм успеха Базовый и профильный уровни Вентана-граф

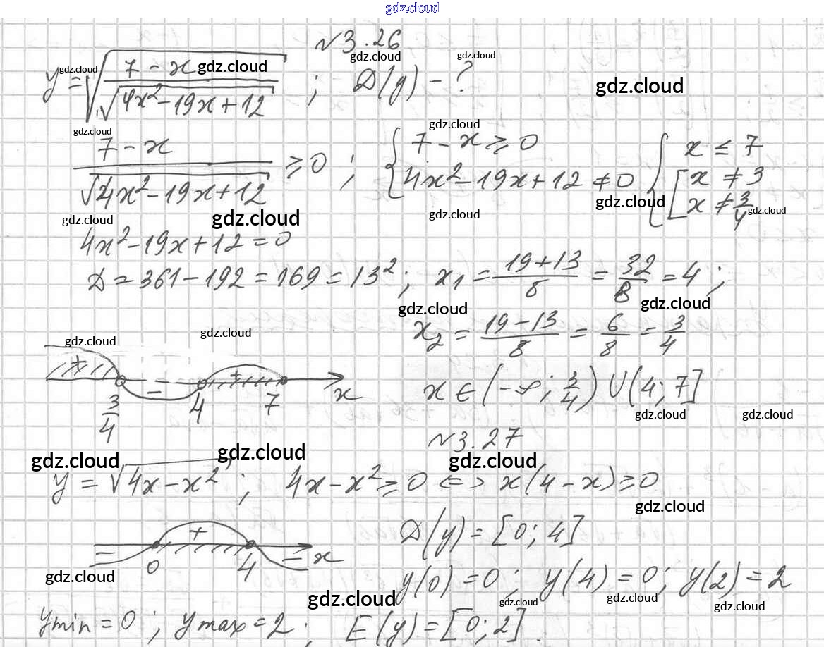
Ответ на задание 3.26 Учебник Алгебра за 11 (одиннадцатый) класс Мерзляк, Номировский, Полонский Алгоритм успеха Базовый и профильный уровни 2017 ФГОС онлайн и без номера телефона.