§41. Понятие логарифма Глава 7 по Алгебре 10, 11 класс Задачник Мордкович Базовый уровень Часть 2 Мнемозина

Решебник №1

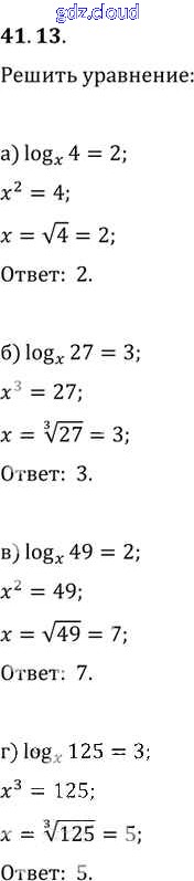
глава 7 / §41 / 41. 13

Решебник №2

глава 7 / §41 / 41. 13

Решебник №3

глава 7 / §41 / 41. 13

Ответ на задание 41. 13 Задачник Алгебра за 10, 11 (десятый, одиннадцатый) класс Мордкович, Денищева, Корешкова, Мишустина, Семёнов, Тульчинская Базовый уровень 2015 Часть 2 ФГОС онлайн и без номера телефона.