§36. Преобразование выражений, содержащих радикалы Глава 6 по Алгебре 10, 11 класс Задачник Мордкович Базовый уровень Часть 2 Мнемозина

Решебник №1

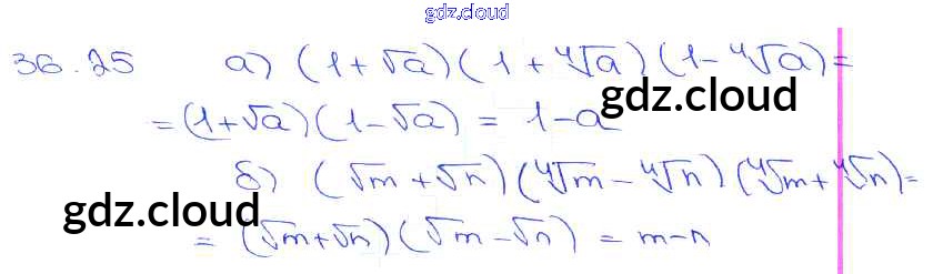
глава 6 / §36 / 36. 25

Решебник №2

глава 6 / §36 / 36. 25

Решебник №3

глава 6 / §36 / 36. 25

Ответ на задание 36. 25 Задачник Алгебра за 10, 11 (десятый, одиннадцатый) класс Мордкович, Денищева, Корешкова, Мишустина, Семёнов, Тульчинская Базовый уровень 2015 Часть 2 ФГОС онлайн и без номера телефона.