§26. Предел функции Глава 5 по Алгебре 10, 11 класс Задачник Мордкович Базовый уровень Часть 2 Мнемозина

Решебник №1

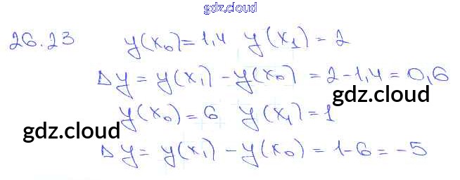
глава 5 / §26 / 26. 23

Решебник №2

глава 5 / §26 / 26. 23

Решебник №3

глава 5 / §26 / 26. 23

Ответ на задание 26. 23 Задачник Алгебра за 10, 11 (десятый, одиннадцатый) класс Мордкович, Денищева, Корешкова, Мишустина, Семёнов, Тульчинская Базовый уровень 2015 Часть 2 ФГОС онлайн и без номера телефона.