§40. Показательные уравнения и неравенства Глава 7 по Алгебре 10, 11 класс Задачник Мордкович Базовый уровень Часть 2 Мнемозина
Решебник №3
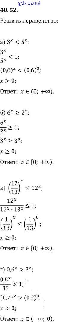
глава 7 / §40 / 40. 52
Ответ на задание 40. 52 Задачник Алгебра за 10, 11 (десятый, одиннадцатый) класс Мордкович, Денищева, Корешкова, Мишустина, Семёнов, Тульчинская Базовый уровень 2015 Часть 2
ФГОС онлайн и без номера телефона.