Ответы к §19 по Алгебре 10 класс Учебник Мерзляк Алгоритм успеха Углубленный уровень Вентана-граф

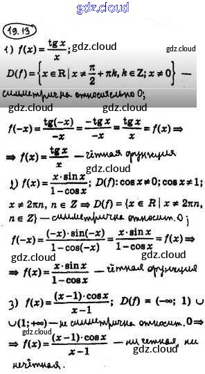
Ответ на задание 19.13 Учебник Алгебра за 10 (десятый) класс Мерзляк, Номировский, Поляков Алгоритм успеха Углубленный уровень 2019 ФГОС онлайн и без номера телефона.