Ответы к §27 по Алгебре 10 класс Учебник Мерзляк Алгоритм успеха Базовый уровень Вентана-граф

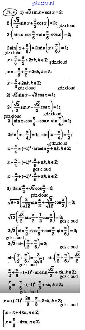
Ответ на задание 27.9 Учебник Алгебра за 10 (десятый) класс Мерзляк, Номировский, Полонский, Якир Алгоритм успеха Базовый уровень 2022 ФГОС онлайн и без номера телефона.