Ответы к Контрольной работе 7  по Алгебре 10 класс Дидактические материалы Потапов МГУ - школе   Просвещение
        
    
        
            
            
                                                                
            
                                                                
                                                
                        Решебник
                    
                                            
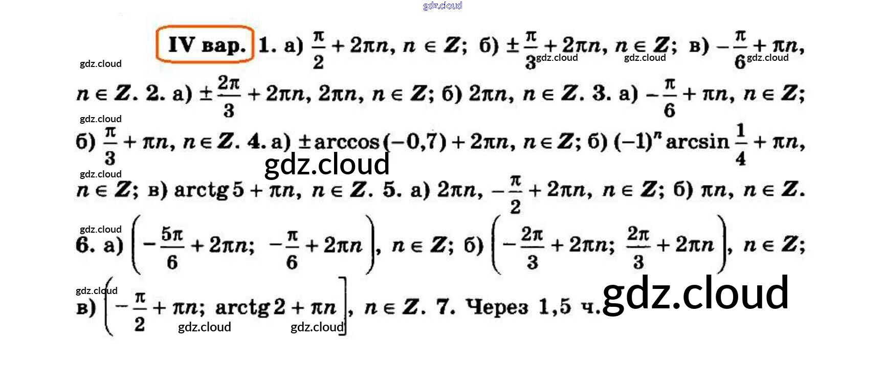
                            контрольная работа 7 / 4
                        
                                                                                                                            
                                                                                                                
         
     
    
            
            Ответ на задание 4 Дидактические материалы Алгебра  за 10 (десятый) класс Потапов, Шевкин МГУ - школе  2019 
 онлайн и без номера телефона.